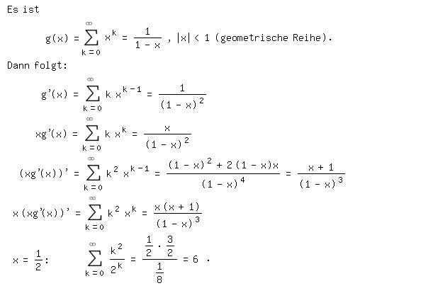
Auf dem Matheplaneten ging es hier um den Wert der Reihe

Die Antwort, auf Wunsch des Fragestellers ohne Differentialrechnung,
war umständlich und enthielt nicht-erklärte Nebenrechnungen.
Leichter kommt man mit Differentialrechnung zum Ziel, s. Folgendes.
Das Ergebnis ist eine unerwartete natürliche Zahl.
Ergänzung: Durch nochmaliges Ableiten und Multiplizieren mit x erhält man für x=⅓ den Wert der Reihe ∑k³/3k (Details oben mit •),
und es gilt unter anderem:
Nachtrag, andere Aufgabe, bei der die geometrische Reihe nicht differenziert, sondern integriert wird
Zurück zur Themenübersicht