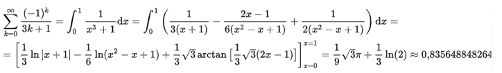
Auf dem Matheplaneten wird hier gefragt, welche Summenwerte unendliche Reihen wie 1 – 1/4 + 1/7 – 1/10 +- . . . ,
1 – 1/5 + 1/9 – 1/13 + – . . . usw. haben.

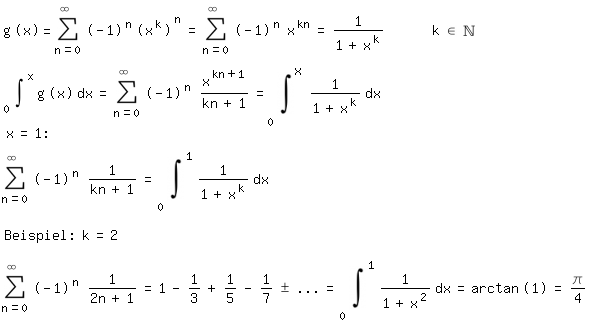
Zur Lösung kann man als Ausgangspunkt die geometrische Reihe wählen:

Integrale für k>2 sind nicht leicht zu berechnen.

Der Fall k=3 wird z. B. hier bei Wikipedia, Abschnitt Kubische und quartische Nenner, behandelt:

und ergibt den Summenwert der ersten genannten Reihe.

Auf dem MP wird das Problem für k=3 bis 6 ausführlich und auf verschiedene Weise behandelt und gelöst.

Zurück zur Vorseite