Siebeneck, n=7

Anzahl der inneren Kanten kinn:
Von einer Ecke aus: 5+7+7+5=24.
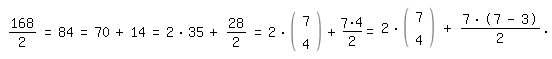
Von allen Ecken: 24·7=168.
Das Siebeneck hat nur 84 innere Kanten; also muss ich, anders als bei den Diagonalschnittpunkten,
nicht durch 4, sondern durch 2 teilen:

Allgemein:

Die äußeren n Kanten mit hinzugenommen:
Zurück zur Vorseite