|
Hallo Hans-Jürgen,
das ist eine sehr schöne Aufgabe, leicht zu begreifen, schwer zu lösen. Die
würde gut in eine MPC passen.
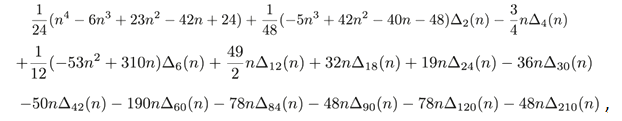
Nach meinen Ergebnissen kommt für n>5 nie wieder eine Zweierpotenz vor.
Beim 13-Eck kommt 456 raus, wie jeder hier leicht (*g*) nachzählen kann.
 
\geo
e(700,700) xy(-1.2,1.2) form(of) nolabel()
name()
f(0,0,black)
P(0,0,M)
c(red) pen(2)
kreis(M,1,K)
c(white)
p(K,0,P1)
p(K,27.69230769,P2) p(K,55.38461538,P3) p(K,83.07692308,P4)
p(K,110.7692308,P5) p(K,138.4615385,P6) p(K,166.1538462,P7)
p(K,193.8461538,P8) p(K,221.5384615,P9) p(K,249.2307692,P10)
p(K,276.9230769,P11) p(K,304.6153846,P12) p(K,332.3076923,P13)
makro(v,c(blue)s(P%1,P%2)c(blue)s(P%1,P%3)s(P%1,P%4)s(P%1,P%5)c(blue)s(P%1,P%6)c(blue)s(P%1,P%7)s(P%1,P%8)c(blue)s(P%1,P%9)c(blue)s(P%1,P%{10})s(P%1,P%{11})s(P%1,P%{12})c(blue)s(P%1,P%{13}))
v(1,2,3,4,5,6,7,8,9,10,11,12,13)
v(2,3,4,5,6,7,8,9,10,11,12,13,1)
v(3,4,5,6,7,8,9,10,11,12,13,1,2)
v(4,5,6,7,8,9,10,11,12,13,1,2,3)
v(5,6,7,8,9,10,11,12,13,1,2,3,4)
v(6,7,8,9,10,11,12,13,1,2,3,4,5)
v(7,8,9,10,11,12,13,1,2,3,4,5,6)
v(8,9,10,11,12,13,1,2,3,4,5,6,7)
v(9,10,11,12,13,1,2,3,4,5,6,7,8)
v(10,11,12,13,1,2,3,4,5,6,7,8,9)
v(11,12,13,1,2,3,4,5,6,7,8,9,10)
v(12,13,1,2,3,4,5,6,7,8,9,10,11)
c(white)
makro(fi,k(P%1,0.02,c%1) f(c%1,white,top))
fi(1)fi(2)fi(3)fi(4)fi(5)fi(6)fi(7)fi(8)fi(9)fi(10)fi(11)fi(12)fi(13)
\geooff
geoprint(,Graphik)
Gruß
Rebecca
|