Re: Die Kardioide als
Hüllkurve Re:
Die Kardioide als Hüllkurve
Die Kardioide als Hüllkurve
Bei einer früheren Gelegenheit [1] beschäftigte ich mit den Einhüllenden von Kurvenscharen.
Hier folgt ein weiteres Beispiel, das wahrscheinlich schon längst bekannt ist, mir aber bisher
noch nicht auffiel. (Ich habe auch nicht danach gesucht, weder in Büchern noch im Internet.)
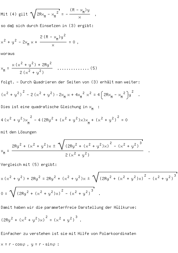
Wählt man auf einem Kreis, dessen Mittelpunkt auf der x-Achse liegt und der durch den Ursprung geht,
beliebige Punkte,

und schlägt um sie Kreise, die ebenfalls durch den Ursprung gehen, 
so ist die Einhüllende der so entstehenden Kreisschar eine Kardioide: 
Beweis: 




[1] Über Hüllkurven
Hans-Jürgen
von Diophant
am Do. 03. September 2009 17:56:31
Lieber Hans-Jürgen,
manchmal findet man ja auch draußen in der Natur etwas besonders schönes:
eine schöne Blume, einen schönen Stein oder dergleichen.
Auf dem Matheplaneten gibt es das auch bisweilen. Deine Artikel und ganz
besonders dieser gehören dazu!
Liebe Grüße, Johannes
von rambo3
am Do. 03. September 2009 21:44:02
Schön gesagt, ich find ihn auch sehr interesant
|
Re:
Die Kardioide als Hüllkurve |
|
|
|
Re:
Die Kardioide als Hüllkurve |
|
|