Rätsel

Zwei Punkte mit ganzzahligen rechtwinkligen
Koordinaten liegen auf einem Viertelkreis
um den Ursprung mit ebenfalls ganzzahligem
Radius. Ihr Abstand voneinander beträgt
80 Längeneinheiten. Wie groß ist der Radius
des Viertelkreises?

Ein gesundes, friedvolles und erfolgreiches
Neues Jahr, verbunden mit besonderem Gruß
und Dank an Matroid, wünscht allen Bewohnern
und Besuchern des Matheplaneten

Hans-Jürgen.

(Nachtrag, nicht auf dem Matheplaneten: ich meinte statt "ganzzahlig" eigentlich
"natürlich", d. h. einen Viertelkreis im ersten Quadranten.)

Re: Rätsel
von
viertel am Mi. 31. Dezember 2003 17:19:58


Hallo Hans-Jürgen

wo hast Du immer diese abgefahrenen Zahldinger her? Bei meiner Lösung gilt:
Die letzten 4 Stellen des Produkts der 4 Koordinaten und des Radius sind 7040.
Ich hab's aber nur durch "rechnen lassen" rausbekommen.

Dietmar


Re: Rätsel
von
Gockel am Mi. 31. Dezember 2003 17:25:23


Muss es unbedingt ein beliebiger Viertelkreis sein? Können wir nicht einen Viertelkreis im ersten Quadranten festlegen, dafür hätte ich eine Lösung?


Re: Rätsel
von
viertel am Mi. 31. Dezember 2003 17:50:12


Ok, es geht doch auch mit Nachdenken. Gockel hat mich auf die Idee gebracht.
Die zwei Punkte (-40,y) und (40,y) haben gewiß den Abstand 80. Suche also ein y>40 (mit y<40 ist der Sektor >90°, also kein Viertelkreis), so daß der Abstand von (40,y) zum Ursprung ganzzahlig ist. Und das ist glücklicherweise schon bei y=42 der Fall, so daß r=58 ist.


Re: Rätsel
von
viertel am Mi. 31. Dezember 2003 19:05:34


Hi Gockel,
was hast Du zu bieten? Ein beliebiger Viertelkreis ist auch der erste Quadrant. Also ist die Lösung, die Du hast, doch auch zulässig.
Wenn ich von meiner Lösung alle Ziffern der Koordinaten und des Radius' nehme und die Ziffern(!) aufsteigend sortiere, habe ich: 1334567788
Dietmar


Re: Rätsel
von
Olgigi am Mi. 31. Dezember 2003 19:38:22


Ich habe herausbekommen, dass die Differenzen zwischen den x-Koord. bzw. y-Koord. der Punkte 64 bzw. 48 ist...
Also bei den Punkten (x1|y1), (x2|y2)
x2-x1 = 48
y2-y1 = 64
oder
x2-x1 = 64
y2-y1 = 48

Aber das ginge mit dem Radius 58 ja schlecht. Hm...

Ich hab da so gemacht:
Wenn man weiß, dass der Abstand zwischen der Punkten 80 ist, dann muss ja gelten (nach dem Satz d. Pythagoras) (x2-x1)²+(y2-x2)²=80² Außderdem sind die Koord. der Punkte ganzzahlig, also sind auch x2-x1 und y2-y1 ganzzahlig. Dieses hab ich dann VBA in Auftrag gegeben und als einzige Lösung 48²+64²=80² bekommen...

Was ist da falsch??


Re: Rätsel
von
viertel am Mi. 31. Dezember 2003 21:17:37


Hi Olgigi

Da is fast(!) nix falsch. Es hat nur niemand was vom Radius 58 gesagt *pfffftt*


Re: Rätsel
von
Martin_Infinite am Mi. 31. Dezember 2003 23:44:45 http://www.wolkenkratzerseite.de


@Viertel: **LOL**


Re: Rätsel
von
viertel am Do. 01. Januar 2004 02:42:45


Ähm, ja, also, *stotter*, ich versuch mal, mich da rauszureden:

Also das, was Olgigi mit den Koordinatendifferenzen 48 und 64 ausgerechnet hat, hab ich auch in meinen ersten Posts gemeint. Und bei diesen Zahlen ist der Radius 85(!). Da taucht also wirklich keine 58 auf (fieser Zahlendreher).

Und dann, auf Gockels Anstoß hin, hab ich ja noch ne Lösung angeboten, diesmal tatsächlich mit dem Radius 58. Und damit hat es Olgigi wohl verwechselt, als er/sie nach dem Fehler mit den 58 (die ja zu den Koordinaten wirklich nicht passen) gefragt hat. Als ich auf diese Frage antwortete, sah ich nur seine Zahlen, die mit meinem ersten Ergebnis harmonierten, und den damit verbundenen Zahlendreher 85 vs 58. Von meinen eigenen 58 wußte ich in dem Moment nix, deshalb mein *pfffftt*.

Nun ja, Martin's LOL hat mich dann doch nachdenklich gemacht. Und so halt dieser Versuch einer Rechtfertigung meiner Unvollkommenheit.

Frohes neues Jahr
1/4


Re: Rätsel
von
Kleine_Meerjungfrau am Do. 01. Januar 2004 16:12:29


Erstmal wünsche ich euch allen ein gutes neues Jahr!

Ich habe mich auch mit dem Rätsel befasst und zwar ohne Computerunterstützung (ich hab keine Ahnung, wie man solche Rätsel mit dem Dinger lösen kann). Allerdings bin ich noch nicht wirklich zum Ziel gekommen. Vielleicht kann mir also einer von euch sagen, ob mein Ansatz überhaupt möglich ist oder ob ich komplett auf dem Holzweg bin:

P und Q sind die beiden Punkte, r der Radius und h die Höhe der Seite PQ zum Ursprung O. Das Dreieck OPQ ist gleichschenklig. Ich kann es nun aufteilen in zwei rechtwinklige Dreiecke mit den Seiten r, h und 40 LE. Betrachtet wird nun ein solches Dreieck. Der Winkel bei O sei alpha, der bei P beta. Dann ist sin(alpha)=40/r und cos(alpha)=40/r und daraus ergibt sich
arcsin(40/r)+arccos(40/r)=90°=pi/2
Hier hänge ich jetzt fest, weil ich nicht weiß, ob man das jetzt irgendwie nach r auflösen kann. Meine Formelsammlung ist leider in Frankreich geblieben.

Eine alternative Überlegung ist diese:
40^2+h^2=r^2 und cos(alpha)=h/r
Also 1600+(r*cos(alpha))^2=r^2 und nach etwas umformen
r(r-40)=0
r=0 geht nicht also bleibt r=40 und das müsste man überprüfen. Wie komme ich aber auf die zwei Punkte?

Kann mir jemand weiter helfen?

Gruß
kleine Meerjungfrau


Re: Rätsel
von
viertel am Do. 01. Januar 2004 17:58:18


Hi Kleine_Meerjungfrau

In beiden Ansätzen hast Du einen Fehler drin.

Beim Ersten ist cos(alpha)=40/r und beim Zweiten cos(alpha)=h/r. Was ist wohl richtig? (Damit ist der erste Ansatz futsch)

Beim Zweiten: ich weiß ja nicht, wie Du "nach etwas Umformen" auf r(r-40)=0 kommst???

http://fed.matheplanet.com/mprender.php?stringid=602376fed-Code einblenden

Es muß doch gelten:
\ll(1)P_x^2+P_y^2=r^2
\ll(2)Q_x^2+Q_y^2=r^2 <=> Q_y=sqrt(r^2-Q_x^2)
\ll(3)(P_x-Q_x)^2+(P_y-Q_y)^2=80^2
fed-Code ausblenden fed-Code im Editor öffnen



Mehr Bestimmungsgleichungen hab ich nicht gefunden. Und das reicht ja nicht.

Also hab ich ein Programm suchen lassen:
- den Radius r von 40 bis 1000 laufen lassen
- Px von 0 bis r/2 (wegen Symmetrie)
- daraus Py errechnen
- alles in (3) einsetzen und Qx ausrechnen
- Qy berechnen
Das sieht dann so aus:

 

{
   // 64-bit Integer um Überläufen vorzubeugen
   __int64  r, x1, y1, x2, y2, d,
            rQ, x1Q, y1Q;
   int      n=100;
   double   x, y;
#ifdef __BORLANDC__
   String   s;
#else
#endif
   for ( r=40 ; r<100000 ; r++, n-- ) {
      rQ = r*r;
      if (n==0) {
#ifdef __BORLANDC__
         lblR->Caption = r;
         lblR->Update();
#else
         // anderer Code um Zähler r auszugeben
#endif
         n = 100;
         }
      for ( x1=0 ; x1<=r/2 ; x1++ ) {
         x1Q = x1*x1;
         y1 = y = sqrt(rQ-x1Q);
         if (y1==y) {
            y1Q = y1*y1;

            d = -rQ*rQ+2*rQ*(x1Q+y1Q+6400)-x1Q*x1Q+(6400-y1Q)*(2*x1Q+y1Q-6400);
            if (d>0) {
               x2 = x = (x1*(rQ+x1Q+y1Q-6400)+y1*sqrt(d))/(2*(x1Q+y1Q));
               if (x2==x && x2<=r) {
                  y2 = y = sqrt(rQ-x2*x2);
                  if (y2==y) {
#ifdef __BORLANDC__
                     s.printf("(%Ld,%Ld) (%Ld,%Ld) r=%Ld", x1, y1, x2, y2, r);
                     Ergebnis->Lines->Add(s);
                     Ergebnis->Update();
#else
                     // anderer Code um Koordinate auszugeben
#endif
                     }
                  }
               }
            }
         }
      }
#ifdef __BORLANDC__
   Ergebnis->Lines->Add("FERTIG");
#else
#endif

}

Alles Gute im neuen Jahr

Dietmar

 


Re: Rätsel
von
dollardollar am Do. 01. Januar 2004 18:24:43


Es ist auch r=104 möglich. Dazu wählt man die Punkte (-40;96) und (40;96)


 

Re: Rätsel
von viertel am Do. 01. Januar 2004 18:56:26


Klar, mit dem "Trick", symmetrisch zur y-Achse zu arbeiten, ergeben sich noch viele Lösungen für die Punkte P(40,y) und Q(-40,y), deren Abstand ja immer 80 ist:

 y   r
--- ---
 42  58
 75  85
 96 104
198 202
399 401

Und mehr gibt es nicht. Die Differenz zwischen y und r wird zwangsläufig immer kleiner wegen
http://fed.matheplanet.com/mprender.php?stringid=602377fed-Code ausblenden

r=sqrt(40^2+y^2)

Für y=800 wird er erstmal <1, und Null kann er nicht werden. Ende der Fahnenstange.


Re: Rätsel
von
Kleine_Meerjungfrau am Do. 01. Januar 2004 19:14:29


@Viertel
Beim ersten Ansatz hätte es eigentlich cos(beta)=40/r heißen sollen. Damit kam ich dann auch auf die Gleichung, bei der ich hängen geblieben bin.

Beim zweiten Ansatz hab ich das so gemacht:
Arrrrrgh, hab grad beim Eintippen in den fed gemerkt, dass die Umformung gründlich falsch war. Also das ist Blödsinn, vergiss den Ansatz.

Mit was für nem Programm machst du denn sowas?


Re: Rätsel
von
viertel am Do. 01. Januar 2004 21:05:24


Das ist ganz banales C/C++ (C++ Builder von Borland, dem MS Visual C++ kann ich nix abgewinnen).


Re: Rätsel
von Hans-Juergen am Sa. 03. Januar 2004 00:08:06 http://www.hjcaspar.de/hpxp/anfang.htm


Hi,
ohne Computer kann man so vorgehen:




****

@ Dietmar (31.12. 19:58):
"wo hast Du immer diese abgefahrenen Zahldinger her?"

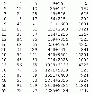
Auf dieses Rätsel kam ich durch Betrachtung der
folgenden Tabelle pythagoräischer Zahlentripel:
Bild
In der dritten Spalte kommt zweimal die 85 vor.

Und das vorletzte Rätsel ("Die drei Zahlen") ergab sich, als ich darüber nachdachte, welche Eigenschaften die neue Jahreszahl 2004 besitzt.

Viele Grüße an alle, die sich mit beiden beschäftigten, und ein gutes Neues Jahr!

Hans-Jürgen


Re: Rätsel
von Kleine_Meerjungfrau am Sa. 03. Januar 2004 11:30:09


Diese Lösungsmöglichkeit gefällt mir. Ich gäbe nur was darum, solche Sachen auch mit dem PC lösen zu können aber das einzige, was ich zumindest theoretisch programmieren können sollte ist TurboPascal und das kann ich auch nicht wirklich.

Zurück zur Themenübersicht