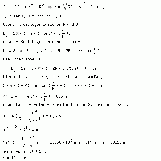
Mit der folgenden Figur habe ich gerechnet:





Hans-Jürgen